很多父母對於孩子的身體特別擔憂,尤其是剛剛做爸爸媽媽的,尤其關注孩子的身體和體重,那麼寶寶到底有沒有一個合適的參考呢,下面給出四個表,大家可以對照下。
首先是男寶寶的體重,不過這張表格上面的數字,是在寶寶排便以後空腹的情況下稱的,並且是光著身子的時候。

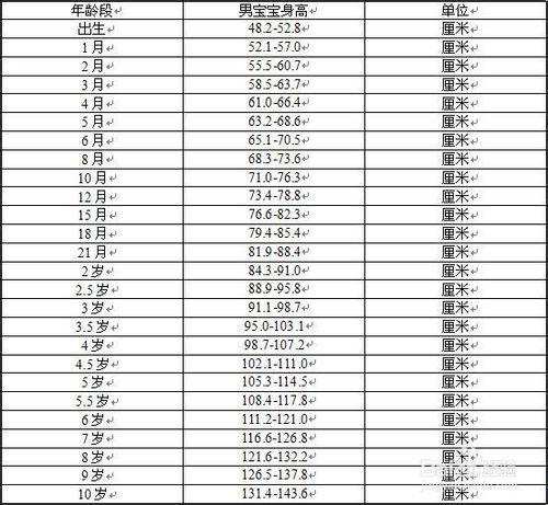
推薦呢,每個月都要給寶寶測量一下身高,拿軟的皮尺就可以,從頭頂一直量到腳掌。

一般來說呢,女寶寶相對會較輕一點點,不過現在的孩子很多營養過於豐盛,也很容易發胖的。

最後這張是女寶寶的身高對照,但是很多孩子一般要高一點。

上面這些數據從寶寶出生第1周到10歲各階段都有,爸爸媽媽們趕緊收藏起來吧,以後每一個階段都可以參照參照呢
栗子 栗子對輔助治療腎虛
四個月寶寶不愛喝奶,怎麼辦呀
健康咨詢描述:
剛剛1個月的寶寶惡心嘔吐怎麼